日期:2018-01-24 11:12 点击:
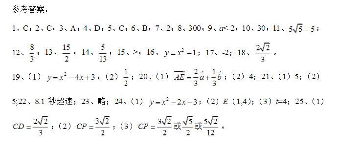
2018上海松江区一??伎?,思源教育小编第一时间整理了数学考卷的真题和答案解析,分享给大家。其他区的同学们可以参考松江区的考点和难度,做最后的冲刺复习。





更多中高考资讯,请扫描下方二维码,关注思源教育公众号。

思源教育(原上海交大思源进修学院,简称思源教育)成立于1996年,自建校以来,秉承交大校训,依托名校师资,提供专业的托班辅导、青少年英语辅导、小学辅导、初中辅导、高中辅导、高考高复、三校生高复、艺考生文化课等,学生遍及全市各区,至今已帮助六万多余名学子取得优异成绩,成功考入理想的各级院校!20余年来思源已成为“中考教学研究中心”、“中学个性化学习教育基地”、“快速学习法”实验学校。
58351887 / 58352220 浦东八佰伴校区
(详情请点击) 浦东新区南泉北路1025号(近张杨路,明珠小学旁)62932552/62932882 思源中高考学习中心
(详情请点击) 徐汇区华山路1988号汇银大厦北楼6楼619室63330788 人民广场三校生高复校区
(详情请点击) 黄浦区延安东路700号港泰广场708-1室021-56611361 普陀三校生高复校区
(详情请点击) 普陀区交通路4703弄28号一楼32035781/62581699 徐汇三校生高复校区
(详情请点击) 徐汇区广元西路12号(工商银行隔壁)50836650/58437313 浦东三校生高复校区
(详情请点击) 浦东新区南泉北路1025号2楼(近张杨路,明珠小学旁)021-55808106 杨浦三校生高复校区
(详情请点击) 杨浦区国宾路36号万达广场B座1404室021-64680311 思源外语徐汇校区
(详情请点击) 徐汇区南丹东路238号2层54162500/54162556 思源外语南方校区
(详情请点击) 闵行区古美路35号318室021-50933616 思源外语八佰伴校区
(详情请点击) 浦东新区浦东南路1138号上海湾三楼301-B021-53820050 黄浦校区
(详情请点击) 斜土路768号致远大厦710室58209385/32123101 思源外语云台路校区
(详情请点击) 浦东新区浏河路19号19创意园2楼(近云台路)55670526/31117286 杨浦大桥校区
(详情请点击) 杨浦区平凉路1128弄银鹿大厦1号楼803室(近眉州路)